Understanding T3P® From Start To Finish

T3P – an exceptional condensation reagent
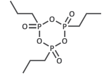
T3P, propanephosphonic acid anhydride, is an exceptional reagent for use in condensation reactions and has attracted the attention of almost all innovative pharmaceutical companies worldwide during the past decade. Many applications for T3P use are in amidations and peptide coupling reactions, both liquid and solid-phase peptide synthesis; however, the reagent may readily be used for various other functional group transformation reactions, including nitrile formation from carboxamides, alcohol oxidation (Swern-type oxidation), ester formation, Lossen rearrangement, Beckmann rearrangement and heterocycle formation. [Lit 1,2,3]
T3P is a versatile reagent for many kinds of functional group transformations. Review its advantages and recommendations for use.
Get unlimited access to:
Enter your credentials below to log in. Not yet a member of Outsourced Pharma? Subscribe today.